
新智元报道
编辑:Aeneas KingHZ
AI 辅助人类,完成了首个非平凡研究数学证明,破解了 50 年未解的数学难题!在南大校友的研究中,这个难题中q=3 的情况,由 o3-mini-high 给出了精确解。
就在刚刚,AI 完成了首个非平凡研究数学证明!
完成这项研究的,是美国纽约布鲁克海文国家实验室凝聚态物理与材料科学分部的一位华人学者 Weiguo Yin。

论文地址:https://arxiv.org/abs/2503.23758
在这项研究中,作者在一维J_1-J_2 q 态 Potts 模型,通过引入最大对称子空间(MSS)方法,对其精确求解。
具体来说,作者将q^2×q^2 的传递矩阵进行块对角化。
而q=3 的情况,正是基于 OpenAI 的最新推理模型 o3-mini-high 来精确求解的。
在 AI 的帮助下,研究者成功证明,模型可以映射为一维q态 Potts 模型,其中J_2 作为最近邻相互作用,J_1 则作为有效的磁场,这一结果扩展了之前在q=2,即 Ising 模型的证明。
注意,这个问题,在数学界有 50 年没有解决。
论文引用了关于J_1−J_2 伊辛模型(即q=2 的 Potts 模型)的工作,这些工作可以追溯到 1969 年和 1970 年。
而 o3-mini-high 帮忙完成的这项证明,为众多悬而未决的物理问题(层状材料中原子或电子顺序堆叠的问题,以及非常规超导体中常见的T_c-拱形相的形成等),提供了全新的见解。
AI 模型在科学研究中的巨大潜力,也再一次被证实!


Weiguo 于 2004 年加入布鲁克海文国家实验室担任研究员,并于 2006 年晋升为助理物理学家,2008 年晋升为副物理学家,2011 年晋升为物理学家。
他的专长在于结合第一性原理、有效哈密顿量和机器学习方法,研究强关联体系、挫败磁性、超导性、多铁性、混合的 3d-5d 化合物、拓扑材料和非平衡态。
1998 年,他获得南京大学的博士学位,并荣获 2000 年国家优秀博士学位论文奖。
五十年未解的数学难题,被 AI 解决了
在凝聚态物理、材料科学、量子信息学和微电子学等研究领域中,发现新的相和相变是一个核心挑战。
挫败磁体中存在许多不寻常的相,这些磁体通常用伊辛模型(Ising model)或量子海森堡模型(quantum Heisenberg model)来描述。
统计力学的第三个基本模型是q状态 Potts 模型。
它是伊辛模型(q=2)的推广,可以作为研究从离散(伊辛)对称性到连续(海森堡)对称性转变的有效中介。
特别是,一维J_1-J_2 Potts 模型可能与众多问题相关,这些问题涵盖了从层状材料中原子或电子有序的面外堆叠,如 1T-TaS_2 中的「大卫之星」电荷密度波,到每个时间步都有多种选择的时间序列问题,如乒乓球训练设计。

1T-TaS2 中的「大卫之星」电荷密度波相关论文插图
一维J_1-J_2 Potts 模型
尽管一维和二维的J_1-J_2 伊辛模型和海森堡模型已被广泛研究,但只有一维J_1-J_2 伊辛模型通过转移矩阵法得到了精确解。
对于一维J_1-J_2 Potts 模型,至今仍没有精确的解析解。
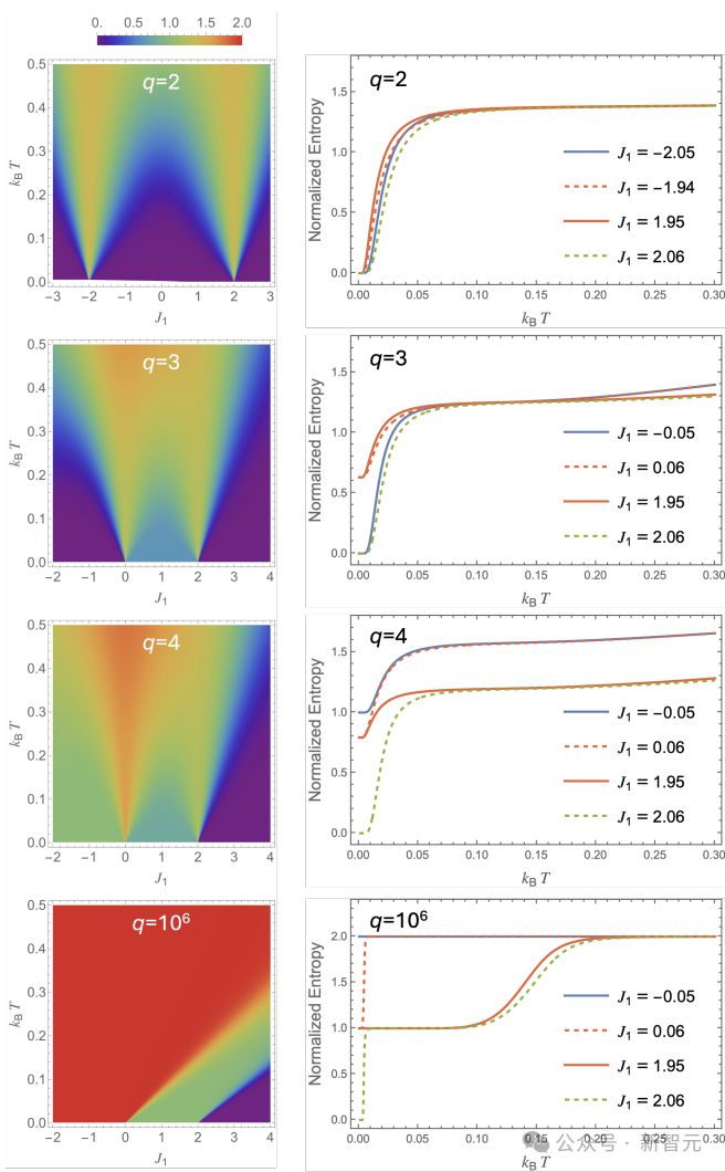
因为当q=3 时,该模型已经展现出与q=2(即伊辛模型)不同的基态相行为(见下图),因此精确求解任意q的模型具有基础性的重要性。

伊辛模型:不同的基态相行为
挑战在于转移矩阵的阶数迅速增加,阶数为q^2。
可想而知,q=3 时的9×9 矩阵已经很难进行解析求解,而q=10^10 时的 10^10×10^10 矩阵,即使是数值计算也无能为力。
先前的研究将任务转化为数值计算有效的q×q矩阵,采用整数q形式的转移矩阵法,或连续q形式的转移矩阵。
尽管物理学的透明度较低,但仍然无法得到精确的解析结果。
因此,对于一维J_1-J_2 Potts 模型,至今仍然缺乏其中丰富相行为的直观理解。
OpenAI o3-mini 的创举:非平凡证明
最近的两个发展为这一长期未解问题提供了新的视角。
第一个发展是通过基于对称性的块对角化,将装饰伊辛梯形的4×4 转移矩阵简化为有效的2×2 矩阵。
这些发现为一维挫败 Potts 模型找到精确解,可能成为这一重要新方向的里程碑。
第二个发展是OpenAI 最新的推理模型 o3-mini-high,推导出了一个优雅的方程,在外部磁场下,可以确定装饰伊辛模型中 UNPC 的临界温度。

论文链接:https://arxiv.org/abs/2502.11270
因此,作者受到启发,逐步提示 AI 推理模型,去处理整数q形式的转移矩阵。
尽管 AI 的回答中有不少错误,针对q=3 的情况,最终找到了一种基于对称性的块对角化方法,可以将一维J_1-J_2 三状态 Potts 模型的9×9 转移矩阵解析地简化为有效的2×2 矩阵。
对于一般的q,关键的对称性是q个 Potts 状态的全排列对称性。
换句话说,哈密顿量(因此在整数q形式中的转移矩阵)在任何对标签{1,2,3,...,q}的排列下都是不变的;它的对称群是 Sq。
虽然 AI 未能进一步推进,但警告说随着q的增大,排列的数量急剧增加。
然而,q=2 和q=3 的精确结果,特别是两者都归结为2×2 矩阵,启发了作者:
由于在热力学极限下只有转移矩阵的最大特征值(λ)才重要,因此任务简化为识别包含λ的对称分离子空间。
随后,作者发现这个子空间由两个最大对称向量张成,因为所有转移矩阵元素都是正的,这使得最终得到了一个解析的2×2 矩阵。
因此,任意q的一维J_1-J_2 Potts 模型的精确解,就这样被找到了,而且过程出奇的简单!
o3-mini-high 具体起了什么作用
下面我们就来看看,o3-mini-high 是如何在这项研究中推导出关键方程,对q=3 的情况精确求解,从而确定了装饰伊辛模型中 UNPC 的临界温度的。
首先,o3-mini-high 证明,根据其知识,1D J_1-J_2 Potts 模型尚未被精确求解。
接着,模型被提示使用 1D J_1-J_2 三态 Potts 模型的之字形梯形版本。
在这种情况下,AI 正确地给出了以下哈密顿量表达式:

随后,AI 正确地生成了以下传递矩阵的表达式。

其中,(a, b)是由一对自旋组成的「梯级」状态,(a', b')是邻近梯级状态。
假设一组梯级状态按以下顺序排列:(1, 1), (1, 2), (1, 3), (2, 1), (2, 2), (2, 3), (3, 1), (3, 2), (3, 3)。
若使用简写符号,则传递矩阵可以明确地表达为如下形式。

对于上面这个T'矩阵,AI 被提示说,一定要确保,从而纠正它的错误,并且识别出S_3 的对称群。
然后,AI 被提示将T'进行块对角化。
它发现,T'可以通过变换下列这个矩阵来进行块对角化,从而得到。

因此,得到的块对角化传递矩阵的前2×2 块由

给出,其较大的特征值是λ,即传递矩阵T'的最大特征值。
最后,AI 被提示生成上述对话的原生 Wolfram Mathematica 14.2 代码。
这个任务在几秒钟内就完成了,几乎不需要修正。
然而,AI 却未能生成适用于一般q的可用 Mathematica 代码。
相反,它警告说,随着q的增加,S_q对称群中的排列数会急剧增加。
当被进一步要求时,AI 创建了一些假 Mathematica 函数,并表示「这些函数可能值得实现」。

五十年数学难题的精确解
考虑以下哈密顿量[图1(a)]:

为了构建转移矩阵,研究者使用了重叠对的形式化方法来处理方程(1),每个单位格有一个自旋,得到转移矩阵T。
同时使用该模型的等效锯齿梯形表示,其中每个单位格有两个自旋来获得T′。
而且要满足T′=T^2。
在热力学极限N→∞时,配分函数为
其中λ是转移矩阵T的最大特征值。
每个自旋的自由能由下式给出:

其中,β=1/(k_BT),T是绝对温度,k_B是玻尔兹曼常数。
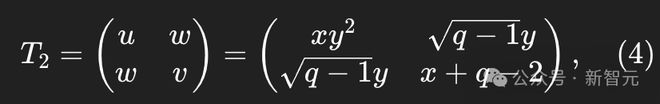
由此得到的变换矩阵是一个q^2×2 矩阵,它将q^2×q转移矩阵T投影到与其余部分解耦的2×2 块矩阵T_2,并且该矩阵由于不同的对称性,得到如下方程4:

需要注意的是,最大对称子空间意味着u、v和w的表达式可以通过组合分析直接得到。
转移矩阵T的最大特征值是T_2 的较大特征值,为

方程(4)的简洁性为理解一维J_1-J_2 Potts 模型中的丰富相行为提供了直观的视角。

图1:(a)单链J_1−J_2 Potts 模型的示意图和(b)其等效的锯齿梯形表示。图中的小球代表具有q个状态的自旋。橙色的键表示最近邻相互作用J_1,绿色的键表示次近邻相互作用J_2
Potts 模型的历史性进展
为了深入理解这些丰富的相图,首先分析基态的相行为。
在T=0 时,对于所有q值,一维J_1-J_2 Potts 模型有三个相,这些相由两个临界点(CPs)分开,这些临界点由方程(4)中u、w、v的相对大小决定。
对于q=2(即伊辛模型),与q≥3 情况有两个方面的不同:
(1)q=2 的两个临界点是对称相关的,位于J_1=±2,而对于q≥3,它们位于J_1=0 和J_1=2。
(2)对于q=2,三个相没有宏观的简并性,而对于q≥3,存在一个或两个具有残余熵的非平凡状态。
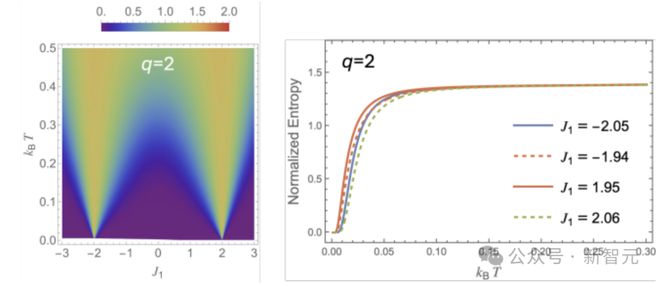
图 3 总结了左侧和中间相以及两个临界点(CPs)残余熵的q依赖关系。
对于小的q,临界点的残余熵(虚线)明显大于相邻相的残余熵(实线)。
因此,每个临界点在J_1−T相图中随着温度升高发展出V形区域(图 2 左,q=2,3,4)。
两个临界点的V形区域汇聚在一起,形成一个类似T_c圆顶的区域,代表q≥3 的中间随机二聚化相。
当系统靠近临界点时,它并不遵循常规的现象——即转变到具有更高宏观简并性的相,而是转变到临界点发展的V形区域,这也在熵的T曲线中表现为平坦区域(图 2 右q=2,3,4),此时熵值等于对应临界点的残余熵。

图2:q=2,3,4 和 10^6 的相图
图 2 左:在J_1−T平面上,归一化熵 2S (J_1,T)/ln (q)的密度图。
图 2 右:在临界点附近,选定J_1 值的 2S (J_1,T)/ln (q)的温度依赖性。−J_2=1 被设定为能量单位。
另一方面,图 3 显示,对于大的q,临界点的残余熵(虚线)趋近于其相邻相的残余熵(实线),最终变得无法区分——不再有V形的临界点区域(图 2 左,q=10^6)。

图3:对于q≥3,在J_1 的四个不同区域下,零温度归一化熵 2S (J_1,0)/lnq的依赖关系
当系统靠近相边界时,它似乎遵循常规的现象,即转变到具有更高宏观简并性的相。
特别是,当J_1>2 时,低温铁磁相将经历一个两步的相交叉:首先转变到中间的随机二聚化相,然后转变到左侧的顺磁相。
Tc 圆顶是非常规超导性(如铜氧化物、铁基超导体、扭曲双层石墨烯等)中的一个关键现象。
它已被解释为(i)一种预形成的有序状态,随着相位相干性的逐渐建立,或(ii)两种竞争相的结果。
目前通过q依赖性出现和消失的类似圆顶的结构,这一结构由相的两个临界点的残余熵的相对强度控制,为形成圆顶形相提供了另一种可能性。
AI 辅助科学研究,潜力巨大
总而言之,用简单的话概括就是,一维J_1-J_2 q 状态 Potts 模型得到了精确解,其中的关键在于发现q^2×q^2 转移矩阵的最大特征值位于一个2×2 的最大对称子空间。
而且维J_1-J_2 q 状态 Potts 模型被证明与一维q状态 Potts 模型等价,其中J_2 充当最近邻(NN)相互作用,J_1 充当磁场。
模型的基态被发现包含三个相,这些相由两个临界点分开,对于所有q值均如此。
两个临界点的残余熵的相对强度,随着q变大而变大。
对于小q和大q出现和消失的类似圆顶的随机二聚化相,新研究提供了一种新的形成圆顶形相的机制。
而这项研究之所以能完成,都是基于 o3-mini-high 精确解决了q=3 的情况。
这也提示我们,AI 提供的广泛信息中,能给研究者提供充分的洞察和激励,尽管它的结论可能并不完美。
就在最近,诺奖得主、GoogleDeepMind CEO Demis Hassabis 评论 AlphaFold 时这样表示:通过 AI,人类现在可以在一年内完成 10 亿年的博士研究时间。
可以想见,未来 AI 辅助做出的科研突破还将层出不穷。
参考资料:
